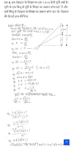
गणित कक्षा 10 से ऊंचाई एवं दूरी से 5 अंक के सबसे महत्वपूर्ण प्रश्न उत्तर height distance class 10th long questions answer very important questions math class 10

WWW.NCERTNZ.IN

By WWW.NCERTNZ.IN

in



You May Like These


कोई टिप्पणी नहीं:

एक टिप्पणी भेजें

About US

About US

I am Teacher. i have been Selected by Bihar BPSC. I prepare notices and important questions of NCERT and Bihar Board BSEB subjects and also keep giving information about GK GS. I will bring to you all the complete knowledge related to education And I prepare for you all the notices of all the classes and important questions and the most important questions asked in the exam and model type questions. Every day I bring a new question for you.

Read More
About US